티스토리 뷰
목차
뇌 건강에 관심이 많은 분들이라면 포스파티딜세린이라는 성분에 대해 들어보셨을 텐데요. 아, 포스타디딜세린은 잘못된 표기방법입니다.
포스파티딜세린은 뇌 세포막을 구성하는 주요 성분으로, 기억력, 학습력, 집중력, 인지능력 등을 향상하는 데 도움이 되는 것으로 알려져 있습니다. 오늘은 포스파티딜세린의 효능과 섭취 방법에 대해 자세히 알아보고 닥터 여에스더 의사 선생님이 만든 제품도 소개해 드리겠습니다.
포스파티딜세린 효능


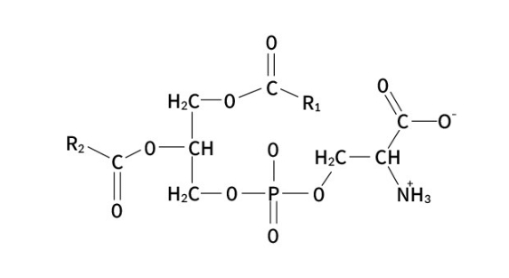
포스파티딜세린은 인지질의 한 종류로 뇌세포와 세포막의 주요성분입니다. 특히 뇌의 신경세포막에 풍부하게 분포하고 있습니다.
뇌영양제로 알려진 포스파티딜세린은 다양한 효능을 가지고 있습니다.
첫째, 포스파티딜세린은 뇌세포의 신호 전달을 원활하게 하여 기억력 향상에 도움이 됩니다.
둘째, 포스타디딜세린 성분은 새로운 정보를 학습하고 습득하는 능력을 좋게 해 줍니다.
셋째, 이 성분은 집중력을 향상시켜 학습, 업무, 운전 등 다양한 활동에 도움을 줍니다.
넷째, 인지능력을 향상시켜 치매 예방에도 도움이 됩니다.
다섯째, 인지력 개선뿐만 아니라 피부건강 유지와 피부보습에도 도움을 줍니다.


포스파티딜세린 섭취방법과 권장섭취량


포스파티딜세린의 섭취방법은 1일 200~400mg을 섭취하는 것이 좋습니다. 포스파티딜세린은 식품으로도 섭취할 수 있지만, 흡수율이 낮기 때문에 영양제로 섭취하는 것이 좋습니다.
포스파티딜세린이 필요한 사람


1. 인지력 개선에 도움을 받고 싶은 분
2. 일상생활에서 낱말이나 이름이 기억나지 않는 경우가 잦은 분
3. 정상적인 면역기능을 관리하고자 하시는 분
4. 아는 단어가 잘 기억나지 않아 답답한 경험이 있으신 분
5. 두뇌건강과 정상적인 면역기능을 함께 관리하고자 하시는 분
6. 자라나는 어린이와 머리를 많이 사용하는 청소년 및 수험생
7. 치매가족력이 있는 경우 치매 또는 알츠하이머 예방을 위해 건강기능식품을 섭취하고 싶은 분
여에스더 뇌영양제 닥터에스더 포스파티딜세린


예방의학박사 여에스더 박사는 뇌 건강에 도움이 되고 정상적인 면역기능을 위해 직접 배합한 제품입니다. 이 제품은 식약처에서 기능성을 인정한 두뇌건강 기능성 원료인 포스파티딜세린을 주 성분으로 합니다.
여에스더 박사가 엄선한 원료만으로 꽉 채운 포스파티딜세린 300mg이 함유되어 있습니다. 정상적인 면역기능과 세포분열이 되도록 도와주며, 첨가물 5 무(無) 원칙 그대로 식물성 캡슐에 담은 본연의 기능 성분입니다.


닥터에스더 포스파티딜세린에는 포스파티딜세린뿐만 아니라 아연등과 같은 꼼꼼히 고른 8가지 부원료도 첨가되어 있습니다. 그리고 GMP 인증 시설에서 제조되어 안전하게 하루 2 캡슐로 두뇌건강을 지킬 수 있습니다.
여에스더 포스파티딜세린 원료


1992년부터 지질과 인지질의 연구개발해 온 복합지질 전문기업 Solus Biotech사의 프리미엄 포스파티딜 원료를 사용합니다. 이 원료는 복합지질의 추출, 정제, 발효, 합성 기술 개발을 통해 고품질의 원료를 생산하고 있습니다.
닥터에스더 포스파티딜세린은 유전자변형식물을 사용하지 않은 Non-GMO 대두 유래 식물성 원료인 대두레시틴을 원재료로 사용하였습니다. 또한 특허제조공법인 효소반응제법으로 얻은 프리미엄 원료를 사용하여 여러분께 안전한 효과를 제공합니다.
여에스더 뇌영양제 부재료


닥터에스더 포스파티딜세린은 포스파티딜세린과 아연 2중 배합에 꼼꼼히 고른 8가지 부원료를 함께 담았습니다. 8가지 부원로는 엠씨티유지분말, 해조분말, 가시오갈피추출분말, 호아금추출분말, 비타민E, 서양산사자추출물분말, 미강추출분말, 건조효모(셀렌함유)입니다.


포스파티딜세린은 뇌 건강에 도움이 되는 성분으로, 다양한 효능을 가지고 있습니다. 뇌 건강을 챙기고 싶은 분, 치매가족력이 있는 분 들에게 포스파티딜세린 섭취를 추천합니다.
💊 건강기능 제품 추천 💊
고려은단 멀티비타민 올인원 특징 성분 효능
알로하! 환절기가 다가오고 급변하는 날씨로 컨디션도 별로고 몸도 처지는 것 같습니다. 이럴 때일수록 비타민을 잘 챙겨 먹어야 합니다. 오늘은 우리 일상에서 꼭 챙겨 먹는 멀티비타민 중 괜
alohassi.tistory.com
아이오딘 멀티비타민 추천 주요 기능 결핍증상 과잉 부작용
알로하! 아이오딘이 뭔지 아시나요? 혹시 요오드는요? 제가 어렸을 때는 요오드라고 했던것같은데 요즘은 아이오딘이라고 하더라구요. 아이오딘이 함유된 멀티비타민이 유행이라 먼저 아이오
alohassi.tistory.com
오쏘몰 이뮨의 성분과 효능 부작용 예방 및 내돈내산 후기
현대인들은 바쁜 일상과 불규칙한 식습관으로 인해 영양소 결핍에 노출되기 쉽습니다. 영양소 결핍은 피로, 면역력 저하, 뼈 건강 악화 등의 문제를 유발할 수 있습니다. 오쏘몰 이뮨은 독일의
alohassi.tistory.com
김희선도 챙기는 유산균, 비에날씬 BNR17
알로하! 배우 김희선이 모델인 유산균 건강보조제, 비에날씬 BNR17을 소개해 드리겠습니다. 비에날씬 BNR17은 락토바실러스 가세리 BNR17을 주성분으로 하는 유산균 건강보조제입니다. 락토바실러
alohassi.tistory.com
'유익한 쇼핑' 카테고리의 다른 글
| 미닉스 미니건조기 공간차지 적고 성능좋은 1등 건조기 (0) | 2023.12.12 |
|---|---|
| 아이패드 10세대 대학생 수험생 크리스마스 설날 선물 추천 (0) | 2023.12.08 |
| 써모스 보온병 테이블 티포트 제품 추천 및 세척방법 (0) | 2023.12.06 |
| 신지모루 사생활보호필름 아이폰 15 강화유리필름 (0) | 2023.12.06 |
| 어그부츠 미니 UGG 호주정품 털신발 코디 세탁 방법 (0) | 2023.12.04 |

